服务QQ热线
550713274
通知公告 Announcements
当前位置:
首页
>> 学生工作 >>
学团在线
>>
新闻中心
>> 正文
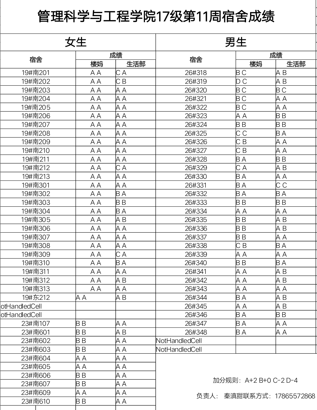
管理科学与工程学院第十一周宿舍成绩
2018-05-20 17:14
【
关闭窗口
】
版权所有: 管理科学与工程学院
地址:山东烟台滨海中路191号